Year
Month

(Peer-Reviewed) Strong-confinement low-index-rib-loaded waveguide structure for etchless thin-film integrated photonics
Yifan Qi ¹, Gongcheng Yue ², Ting Hao ³, Yang Li ¹
¹ State Key Laboratory of Optoelectronic Materials and Technologies, School of Electronics and Information Technology, Sun Yat-sen University, Guangzhou 510006, China
中国 广州 中山大学电子与信息工程学院 光电材料与技术国家重点实验室
² State Key Laboratory of Precision Measurement Technology and Instruments, Department of Precision Instrument, Tsinghua University, Beijing 100084, China
中国 北京 清华大学精密仪器系 精密测试技术及仪器全国重点实验室
³ Advanced Fiber Resources (Zhuhai), Ltd., Zhuhai 519080, China
中国 珠海 珠海光库科技股份有限公司
Opto-Electronic Advances , 2025-09-25
Abstract

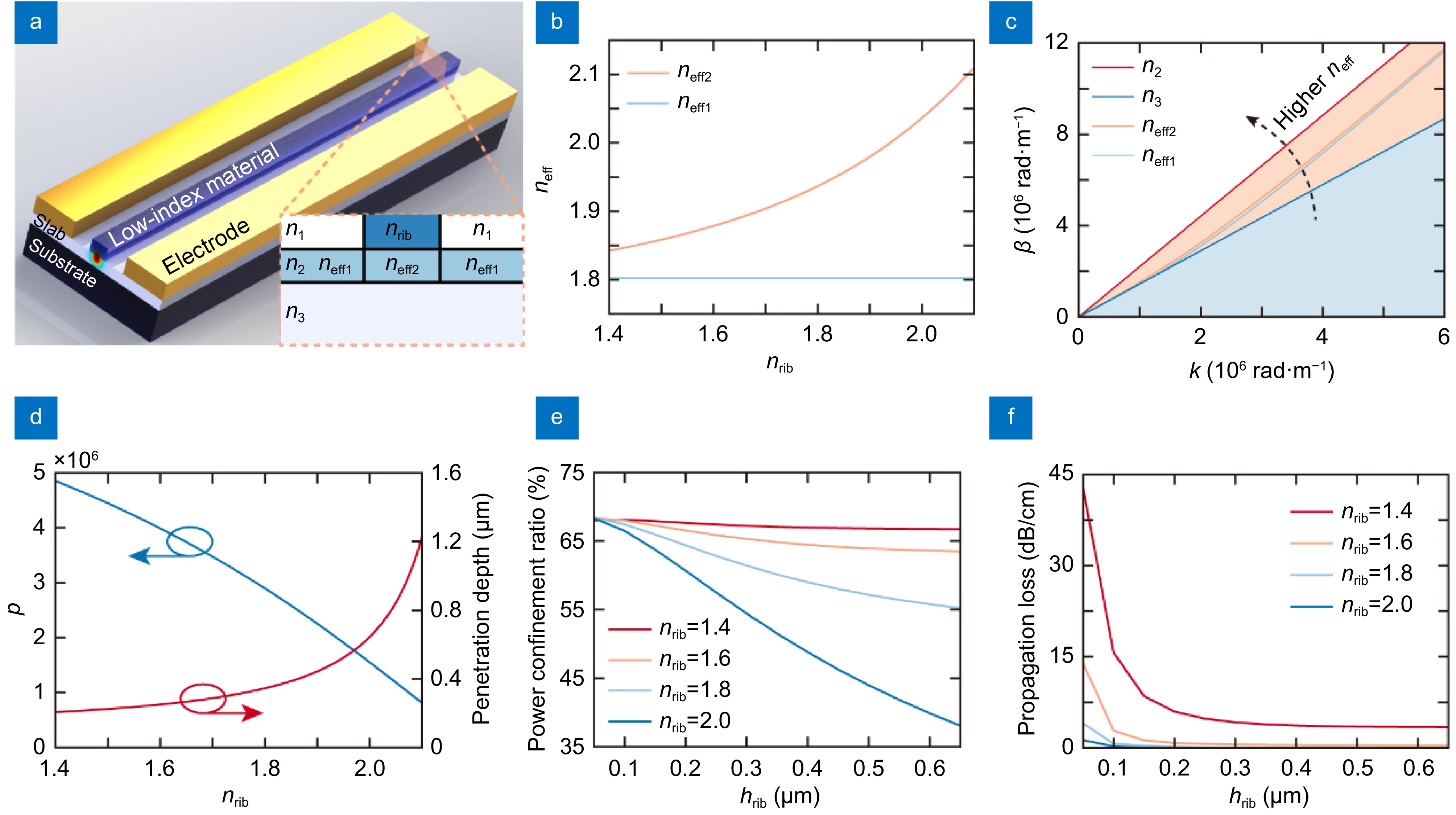
Novel thin films consisting of optical materials such as lithium niobate and barium titanate enable various high-performance integrated photonic devices. However, the nanofabrication of these devices requires high-quality etching of these thin films, necessitating the long-term development of the fabrication recipe and specialized equipment. Here we present a strong-confinement low-index-rib-loaded waveguide structure as the building block of various passive and active integrated photonic devices based on novel thin films.

By optimizing this low-index-rib-loaded waveguide structure without etching the novel thin film, we can simultaneously realize strong optical power confinement in the thin film, low optical propagation loss, and strong electro-optic coupling for the fundamental transverse electric mode. Based on our low-index-rib-loaded waveguide structure, we designed and fabricated a thin film lithium niobate (TFLN) modulator, featuring a 3-dB modulation bandwidth over 110 GHz and a voltage-length product as low as 2.26 V·cm, which is comparable to those of the state-of-the-art etched TFLN modulators.

By alleviating the etching of novel thin films, the proposed structure opens up new ways of fast proof-of-concept demonstration and even mass production of high-performance integrated electro-optic and nonlinear devices based on novel thin films.
Strong-confinement low-index-rib-loaded waveguide structure for etchless thin-film integrated photonics_1
Strong-confinement low-index-rib-loaded waveguide structure for etchless thin-film integrated photonics_2
Strong-confinement low-index-rib-loaded waveguide structure for etchless thin-film integrated photonics_3
Strong-confinement low-index-rib-loaded waveguide structure for etchless thin-film integrated photonics_4
  • Coulomb attraction driven spontaneous molecule-hotspot paring enables universal, fast, and large-scale uniform single-molecule Raman spectroscopy
  • Lihong Hong, Haiyao Yang, Jianzhi Zhang, Zihan Gao, Zhi-Yuan Li
  • Opto-Electronic Advances
  • 2025-07-17
  • Multiphoton intravital microscopy in small animals of long-term mitochondrial dynamics based on super‐resolution radial fluctuations
  • Saeed Bohlooli Darian, Jeongmin Oh, Bjorn Paulson, Minju Cho, Globinna Kim, Eunyoung Tak, Inki Kim, Chan-Gi Pack, Jung-Man Namgoong, In-Jeoung Baek, Jun Ki Kim
  • Opto-Electronic Advances
  • 2025-07-17
  • Research progress on generating perfect vortex beams based on metasurfaces
  • Xiujuan Liu, Manna Gu, Ying Tian, Mingfeng Zheng, Bo Fang, Zhi Hong, Chee Leong Tan, Xufeng Jing
  • Opto-Electronic Science
  • 2025-07-09
  • Non-volatile tunable multispectral compatible infrared camouflage based on the infrared radiation characteristics of Rosaceae plants
  • Xin Li, Xinye Liao, Junxiang Zeng, Zao Yi, Xin He, Jiagui Wu, Huan Chen, Zhaojian Zhang, Yang Yu, Zhengfu Zhang, Sha Huang, Junbo Yang
  • Opto-Electronic Advances
  • 2025-07-09
  • Spectro-polarimetric detection enabled by multidimensional metasurface with quasi-bound states in the continuum
  • Haoyang He, Fangxing Lai, Yan Zhang, Xue Zhang, Chenyi Tian, Xin Li, Yongtian Wang, Shumin Xiao, Lingling Huang
  • Opto-Electronic Advances
  • 2025-06-30
  • Emerging low-dimensional perovskite resistive switching memristors: from fundamentals to devices
  • Shuanglong Wang, Hong Lian, Haifeng Ling, Hao Wu, Tianxiao Xiao, Yijia Huang, Peter Müller-Buschbaum
  • Opto-Electronic Advances
  • 2025-06-27
  • CW laser damage of ceramics induced by air filament
  • Chuan Guo, Kai Li, Zelin Liu, Yuyang Chen, Junyang Xu, Zhou Li, Wenda Cui, Changqing Song, Cong Wang, Xianshi Jia, Ji'an Duan, Kai Han
  • Opto-Electronic Advances
  • 2025-06-27
  • High fiber-to-fiber net gain in erbium-doped thin film lithium niobate waveguide amplifier as an external gain chip
  • Jinli Han, Mengqi Li, Rongbo Wu, Jianping Yu, Lang Gao, Zhiwei Fang, Min Wang, Youting Liang, Haisu Zhang, Ya Cheng
  • Opto-Electronic Science
  • 2025-06-26
  • Eco-friendly quantum-dot light-emitting diode display technologies: prospects and challenges
  • Gao Peili, Li Chan, Zhou Hao, He Songhua, Yin Zhen, Ng Kar Wei, Wang Shuangpeng
  • Opto-Electronic Science
  • 2025-06-25
  • Operando monitoring of state of health for lithium battery via fiber optic ultrasound imaging system
  • Chen Geng, Wang Anqi, Zhang Yi, Zhang Fujun, Xu Dongchen, Liu Yueqi, Zhang Zhi, Yan Zhijun, Li Zhen, Li Hao, Sun Qizhen
  • Opto-Electronic Science
  • 2025-06-25
  • Observation of polaronic state assisted sub-bandgap saturable absorption
  • Li Zhou, Yiduo Wang, Jianlong Kang, Xin Li, Quan Long, Xianming Zhong, Zhihui Chen, Chuanjia Tong, Keqiang Chen, Zi-Lan Deng, Zhengwei Zhang, Chuan-Cun Shu, Yongbo Yuan, Xiang Ni, Si Xiao, Xiangping Li, Yingwei Wang, Jun He
  • Opto-Electronic Advances
  • 2025-06-19
  • Three-dimensional measurement enabled by single-layer all-in-one transmitting-receipting optical metasystem
  • Xiaoli Jing, Qiming Liao, Misheng Liang, Bo Wang, Junjie Li, Yongtian Wang, Rui You, Lingling Huang
  • Opto-Electronic Advances
  • 2025-06-19



  • Harmonic heterostructured pure Ti fabricated by laser powder bed fusion for excellent wear resistance via strength-plasticity synergy        Flicker minimization in power-saving displays enabled by measurement of difference in flexoelectric coefficients and displacement-current in positive dielectric anisotropy liquid crystals
    About
    |
    Contact
    |
    Copyright © PubCard